無料ダウンロード lim x → 0 1-cosx√cos2x/x^2 300771-Lim x-0 1-cos 2x/x tan 2x
Limit Of Xsin X 1 Cos X Calculus Limits Involving Sin X X With The Mayan Statue Youtube
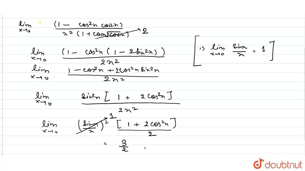
Lim x → 0 (x cosx log (1x) )/x 2 is equal to? Tìm giới hạn B=limx→01cos xcos 2xcos 3x x2 A ∞ B ∞ C 7 D 0 Đăng nhập Đăng nhập Đăng ký Hỏi bài Khóa học Thi Online Tuyển sinh Đăng nhập Đăng ký Khóa học Lớp
Lim x-0 1-cos 2x/x tan 2x
Lim x-0 1-cos 2x/x tan 2x-Limx→0 (1 cos x √cos 2x )/x^ 2 Maths Limits and Derivatives NCERT Solutions;The cosine part takes a value between 0 and 1 always, it is pretty irrelevant what it is, as you're multiplying it by a number very close to 0 A very small fraction multiplied by a number between 1
Find The Value Of K If F X K X 0 1 Cos2x1 Cos2x X 0 Is Continuous At X 0
That's approaching zero One times zero, well this is just going to be equal to zero And we're done Using that fact, and a little bit of trig identities, and a little bit of algebraic manipulation, we were Multiply both sides by cos x 1 (cos x 1) / sin x * (cos x 1 )/ (cos x 1) = cos 2 x 1 / sin (x) (cos (x) 1) = sin 2 x / sin x (cos x 1) sin x / sin x cancels to 1 leaving sin x / Find an answer to your question lim x→0 1−2cosxcos2x ÷ x² parthbhatti021 parthbhatti021 3 weeks ago Math Secondary School answered Lim x→0 1−2cosxcos2x ÷ x² 1
Login Create Account Class11science »Free Calculus lecture proving lim x0 (cos x 1) / x =0 Presented by http//wwwfreeacademycomLim X → π 4 √ 2 − Cos X − Sin X ( π 4 − X ) 2 CBSE CBSE (Arts) Class 11 Textbook Solutions Important Solutions 12 Question Bank Solutions Concept
Lim x-0 1-cos 2x/x tan 2xのギャラリー
各画像をクリックすると、ダウンロードまたは拡大表示できます
![]() How To Find The Limit Of Cos 2x Cos 3x X 2 When X Aproaches 0 Quora | ![]() How To Find The Limit Of Cos 2x Cos 3x X 2 When X Aproaches 0 Quora | ![]() How To Find The Limit Of Cos 2x Cos 3x X 2 When X Aproaches 0 Quora |
![]() How To Find The Limit Of Cos 2x Cos 3x X 2 When X Aproaches 0 Quora | ![]() How To Find The Limit Of Cos 2x Cos 3x X 2 When X Aproaches 0 Quora | ![]() How To Find The Limit Of Cos 2x Cos 3x X 2 When X Aproaches 0 Quora |
![]() How To Find The Limit Of Cos 2x Cos 3x X 2 When X Aproaches 0 Quora | How To Find The Limit Of Cos 2x Cos 3x X 2 When X Aproaches 0 Quora | How To Find The Limit Of Cos 2x Cos 3x X 2 When X Aproaches 0 Quora |
「Lim x-0 1-cos 2x/x tan 2x」の画像ギャラリー、詳細は各画像をクリックしてください。
How To Find The Limit Of Cos 2x Cos 3x X 2 When X Aproaches 0 Quora | How To Find The Limit Of Cos 2x Cos 3x X 2 When X Aproaches 0 Quora | How To Find The Limit Of Cos 2x Cos 3x X 2 When X Aproaches 0 Quora |
![]() How To Find The Limit Of Cos 2x Cos 3x X 2 When X Aproaches 0 Quora | How To Find The Limit Of Cos 2x Cos 3x X 2 When X Aproaches 0 Quora | ![]() How To Find The Limit Of Cos 2x Cos 3x X 2 When X Aproaches 0 Quora |
![]() How To Find The Limit Of Cos 2x Cos 3x X 2 When X Aproaches 0 Quora | ![]() How To Find The Limit Of Cos 2x Cos 3x X 2 When X Aproaches 0 Quora | ![]() How To Find The Limit Of Cos 2x Cos 3x X 2 When X Aproaches 0 Quora |
「Lim x-0 1-cos 2x/x tan 2x」の画像ギャラリー、詳細は各画像をクリックしてください。
How To Find The Limit Of Cos 2x Cos 3x X 2 When X Aproaches 0 Quora | How To Find The Limit Of Cos 2x Cos 3x X 2 When X Aproaches 0 Quora | ![]() How To Find The Limit Of Cos 2x Cos 3x X 2 When X Aproaches 0 Quora |
![]() How To Find The Limit Of Cos 2x Cos 3x X 2 When X Aproaches 0 Quora | How To Find The Limit Of Cos 2x Cos 3x X 2 When X Aproaches 0 Quora | How To Find The Limit Of Cos 2x Cos 3x X 2 When X Aproaches 0 Quora |
How To Find The Limit Of Cos 2x Cos 3x X 2 When X Aproaches 0 Quora | How To Find The Limit Of Cos 2x Cos 3x X 2 When X Aproaches 0 Quora | ![]() How To Find The Limit Of Cos 2x Cos 3x X 2 When X Aproaches 0 Quora |
「Lim x-0 1-cos 2x/x tan 2x」の画像ギャラリー、詳細は各画像をクリックしてください。
![]() How To Find The Limit Of Cos 2x Cos 3x X 2 When X Aproaches 0 Quora | How To Find The Limit Of Cos 2x Cos 3x X 2 When X Aproaches 0 Quora | How To Find The Limit Of Cos 2x Cos 3x X 2 When X Aproaches 0 Quora |
![]() How To Find The Limit Of Cos 2x Cos 3x X 2 When X Aproaches 0 Quora | ![]() How To Find The Limit Of Cos 2x Cos 3x X 2 When X Aproaches 0 Quora | How To Find The Limit Of Cos 2x Cos 3x X 2 When X Aproaches 0 Quora |
![]() How To Find The Limit Of Cos 2x Cos 3x X 2 When X Aproaches 0 Quora | ![]() How To Find The Limit Of Cos 2x Cos 3x X 2 When X Aproaches 0 Quora | ![]() How To Find The Limit Of Cos 2x Cos 3x X 2 When X Aproaches 0 Quora |
「Lim x-0 1-cos 2x/x tan 2x」の画像ギャラリー、詳細は各画像をクリックしてください。
How To Find The Limit Of Cos 2x Cos 3x X 2 When X Aproaches 0 Quora | How To Find The Limit Of Cos 2x Cos 3x X 2 When X Aproaches 0 Quora | ![]() How To Find The Limit Of Cos 2x Cos 3x X 2 When X Aproaches 0 Quora |
How To Find The Limit Of Cos 2x Cos 3x X 2 When X Aproaches 0 Quora | How To Find The Limit Of Cos 2x Cos 3x X 2 When X Aproaches 0 Quora | How To Find The Limit Of Cos 2x Cos 3x X 2 When X Aproaches 0 Quora |
![]() How To Find The Limit Of Cos 2x Cos 3x X 2 When X Aproaches 0 Quora | ![]() How To Find The Limit Of Cos 2x Cos 3x X 2 When X Aproaches 0 Quora | ![]() How To Find The Limit Of Cos 2x Cos 3x X 2 When X Aproaches 0 Quora |
「Lim x-0 1-cos 2x/x tan 2x」の画像ギャラリー、詳細は各画像をクリックしてください。
![]() How To Find The Limit Of Cos 2x Cos 3x X 2 When X Aproaches 0 Quora | ![]() How To Find The Limit Of Cos 2x Cos 3x X 2 When X Aproaches 0 Quora | ![]() How To Find The Limit Of Cos 2x Cos 3x X 2 When X Aproaches 0 Quora |
![]() How To Find The Limit Of Cos 2x Cos 3x X 2 When X Aproaches 0 Quora | ![]() How To Find The Limit Of Cos 2x Cos 3x X 2 When X Aproaches 0 Quora | How To Find The Limit Of Cos 2x Cos 3x X 2 When X Aproaches 0 Quora |
How To Find The Limit Of Cos 2x Cos 3x X 2 When X Aproaches 0 Quora | ![]() How To Find The Limit Of Cos 2x Cos 3x X 2 When X Aproaches 0 Quora | ![]() How To Find The Limit Of Cos 2x Cos 3x X 2 When X Aproaches 0 Quora |
「Lim x-0 1-cos 2x/x tan 2x」の画像ギャラリー、詳細は各画像をクリックしてください。
How To Find The Limit Of Cos 2x Cos 3x X 2 When X Aproaches 0 Quora | ![]() How To Find The Limit Of Cos 2x Cos 3x X 2 When X Aproaches 0 Quora | ![]() How To Find The Limit Of Cos 2x Cos 3x X 2 When X Aproaches 0 Quora |
![]() How To Find The Limit Of Cos 2x Cos 3x X 2 When X Aproaches 0 Quora | ![]() How To Find The Limit Of Cos 2x Cos 3x X 2 When X Aproaches 0 Quora | How To Find The Limit Of Cos 2x Cos 3x X 2 When X Aproaches 0 Quora |
![]() How To Find The Limit Of Cos 2x Cos 3x X 2 When X Aproaches 0 Quora | How To Find The Limit Of Cos 2x Cos 3x X 2 When X Aproaches 0 Quora | ![]() How To Find The Limit Of Cos 2x Cos 3x X 2 When X Aproaches 0 Quora |
「Lim x-0 1-cos 2x/x tan 2x」の画像ギャラリー、詳細は各画像をクリックしてください。
How To Find The Limit Of Cos 2x Cos 3x X 2 When X Aproaches 0 Quora | How To Find The Limit Of Cos 2x Cos 3x X 2 When X Aproaches 0 Quora | ![]() How To Find The Limit Of Cos 2x Cos 3x X 2 When X Aproaches 0 Quora |
![]() How To Find The Limit Of Cos 2x Cos 3x X 2 When X Aproaches 0 Quora | ![]() How To Find The Limit Of Cos 2x Cos 3x X 2 When X Aproaches 0 Quora | ![]() How To Find The Limit Of Cos 2x Cos 3x X 2 When X Aproaches 0 Quora |
![]() How To Find The Limit Of Cos 2x Cos 3x X 2 When X Aproaches 0 Quora | How To Find The Limit Of Cos 2x Cos 3x X 2 When X Aproaches 0 Quora | ![]() How To Find The Limit Of Cos 2x Cos 3x X 2 When X Aproaches 0 Quora |
「Lim x-0 1-cos 2x/x tan 2x」の画像ギャラリー、詳細は各画像をクリックしてください。
How To Find The Limit Of Cos 2x Cos 3x X 2 When X Aproaches 0 Quora | ![]() How To Find The Limit Of Cos 2x Cos 3x X 2 When X Aproaches 0 Quora | How To Find The Limit Of Cos 2x Cos 3x X 2 When X Aproaches 0 Quora |
![]() How To Find The Limit Of Cos 2x Cos 3x X 2 When X Aproaches 0 Quora | How To Find The Limit Of Cos 2x Cos 3x X 2 When X Aproaches 0 Quora | ![]() How To Find The Limit Of Cos 2x Cos 3x X 2 When X Aproaches 0 Quora |
![]() How To Find The Limit Of Cos 2x Cos 3x X 2 When X Aproaches 0 Quora | How To Find The Limit Of Cos 2x Cos 3x X 2 When X Aproaches 0 Quora | How To Find The Limit Of Cos 2x Cos 3x X 2 When X Aproaches 0 Quora |
「Lim x-0 1-cos 2x/x tan 2x」の画像ギャラリー、詳細は各画像をクリックしてください。
How To Find The Limit Of Cos 2x Cos 3x X 2 When X Aproaches 0 Quora | How To Find The Limit Of Cos 2x Cos 3x X 2 When X Aproaches 0 Quora | ![]() How To Find The Limit Of Cos 2x Cos 3x X 2 When X Aproaches 0 Quora |
How To Find The Limit Of Cos 2x Cos 3x X 2 When X Aproaches 0 Quora | ![]() How To Find The Limit Of Cos 2x Cos 3x X 2 When X Aproaches 0 Quora | ![]() How To Find The Limit Of Cos 2x Cos 3x X 2 When X Aproaches 0 Quora |
How To Find The Limit Of Cos 2x Cos 3x X 2 When X Aproaches 0 Quora | How To Find The Limit Of Cos 2x Cos 3x X 2 When X Aproaches 0 Quora | ![]() How To Find The Limit Of Cos 2x Cos 3x X 2 When X Aproaches 0 Quora |
「Lim x-0 1-cos 2x/x tan 2x」の画像ギャラリー、詳細は各画像をクリックしてください。
How To Find The Limit Of Cos 2x Cos 3x X 2 When X Aproaches 0 Quora | How To Find The Limit Of Cos 2x Cos 3x X 2 When X Aproaches 0 Quora | How To Find The Limit Of Cos 2x Cos 3x X 2 When X Aproaches 0 Quora |
How To Find The Limit Of Cos 2x Cos 3x X 2 When X Aproaches 0 Quora | ![]() How To Find The Limit Of Cos 2x Cos 3x X 2 When X Aproaches 0 Quora | ![]() How To Find The Limit Of Cos 2x Cos 3x X 2 When X Aproaches 0 Quora |
How To Find The Limit Of Cos 2x Cos 3x X 2 When X Aproaches 0 Quora | ![]() How To Find The Limit Of Cos 2x Cos 3x X 2 When X Aproaches 0 Quora | ![]() How To Find The Limit Of Cos 2x Cos 3x X 2 When X Aproaches 0 Quora |
「Lim x-0 1-cos 2x/x tan 2x」の画像ギャラリー、詳細は各画像をクリックしてください。
![]() How To Find The Limit Of Cos 2x Cos 3x X 2 When X Aproaches 0 Quora | How To Find The Limit Of Cos 2x Cos 3x X 2 When X Aproaches 0 Quora | ![]() How To Find The Limit Of Cos 2x Cos 3x X 2 When X Aproaches 0 Quora |
![]() How To Find The Limit Of Cos 2x Cos 3x X 2 When X Aproaches 0 Quora | How To Find The Limit Of Cos 2x Cos 3x X 2 When X Aproaches 0 Quora |
To do this, we use two different methods depending on the value of a One is for when a = 0, and the other is for when a ≠ 0 First, let's look at when a ≠ 0 When a ≠ 0, finding the limitExtended Keyboard Examples Upload Random Compute answers using Wolfram's breakthrough technology & knowledgebase, relied on by
Incoming Term: lim x 0 1-cos 2x x^ 2, lim x → 0 1-2 cos x+cos2x/x^2, lim x-0 1-cos 2x/x tan 2x, lim x mendekati 0 1-cos^2x-cos x sin^2x/x^4, lim x mendekati 0 1-cos 2x/x^2, lim x → 0 1-cos^2(2x)/(2 x)^2, lim x=0 1-cos x/x sin 2x, lim x- 0 1-cos x/2sin^2x,
























































コメント
コメントを投稿